2023年全国硕士研究生招生考试数学(二)真题及解析

2023/12/14 14:26:27 来源: 网络
分享:

  2024考研初试还有一周时间,海天考研数学老师整理发布2023年全国硕士研究生招生考试数学(二)真题及解析,历年考试真题可以更好的考查检验知识点掌握情况,考研大纲的偏题、难题也不会出现,考研冲刺最后几天大家可以对所学知识点差缺补漏。

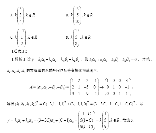
  一、选择题;1——10小题,每小题5分,共50分,在每小题给出的四个选项中,只有一个选项是最符合题目要求的,请将所选项前的字母填在答题纸指定位置上。

1.png

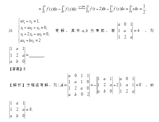
  二、填空题:11——16小题,每小题5分,共30分,请将答案写在答题纸指定位置上。

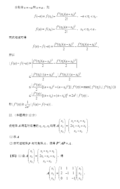
  三、解答题:17——22小题,共70分,解答应写出文字说明、证明过程或演算步骤。

  以上就是2023研究生考试数学二真题及解析的全部内容,考研冲刺阶段的同学们可以根据自身复习情况,结合历年考研真题中的易错点去梳理答题思路,保持每天练题不生疏。

中间广告图.jpg

活动专题